Your API Service logo Your API Service

Education

Explore 504 APIs in the Education category. Explore APIs for givemees, diccionariosv5 and more.

GiveMeES

GiveMeES

Unofficial Tatoeba.org API to search for example sentences with translations and audio.

was-was-was-was-default

RapidAPI

RapidApi

DiccionariosV5

DiccionariosV5

Regresa la información de los diccionarios Nahuatl y Dioses Griegos

vcano5

RapidAPI

RapidApi

cadif1

cadif1

pruebas para curso de javascript

joselrojasd-rQqBK7yt7T_

RapidAPI

RapidApi

Curiosity

Curiosity

*italian* api about Curiosities

gosustyle87-793OC3cf_BR

RapidAPI

RapidApi

Prueba

Prueba

ENC-DEC API

denisvillagran99

RapidAPI

RapidApi

Chemical Configurations

Chemical Configurations

This is an API that provides you with the electron configuration of any chemical element passed to it.

atlas-technologies-atlas-technologies-default

RapidAPI

RapidApi

English Exercises

English Exercises

Automatically generates different types of exercises from a plain English text

oppi-ai-oppi-ai-default

RapidAPI

RapidApi

spooky spoon

spooky spoon

very cool api used for many things

lukerhodri-qXjCQuaRNKg

RapidAPI

RapidApi

Get famous person short info

Get famous person short info

Get famous person short info

mihajlas

RapidAPI

RapidApi

NPSN

NPSN

Provide search API National School Number (NPSN) schools in Indonesia

dodysatria13-CGwaR--OT4e

RapidAPI

RapidApi

CMEfy

CMEfy

Clinicians are learning all the time. CMEfy their invaluable time!

adaptrack-adaptrack-default

RapidAPI

RapidApi

AccentMax

AccentMax

Our API uses WordNet to provide data for the words of your choice.

Ademona

RapidAPI

RapidApi

Mushrooms Live

Mushrooms Live

An API with a variety of great information/sources of mushrooms.

saltee

RapidAPI

RapidApi

Mathionary

Mathionary

Restful API to query definitions and examples of math concepts

iftiin-koox-iftiin-koox-default

RapidAPI

RapidApi

words2text

words2text

Generate a text from a list of words

oppi-ai-oppi-ai-default

RapidAPI

RapidApi

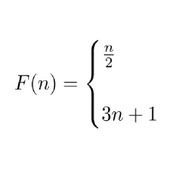
Collatz Conjecture

Collatz Conjecture

Test one of the most popular unproven math functions known as The Collatz Conjecture for any number up to 9223372036854775807. Returns each step value along with helpful statistics.

creativesunrise

RapidAPI

RapidApi

storiesAPI

storiesAPI

An api that provides stories/novels analysis

aitaliabdelwahed

RapidAPI

RapidApi

History Trivia

History Trivia

Uncover the past with our "Historical Trivia API", featuring two unique endpoints that deliver engaging, historically accurate content. Generate random trivia or discover what significant events took place on this day in history, all complemented by useful links for the curious minds.

ddenidaja

RapidAPI

RapidApi